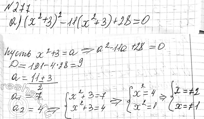
Алгебра 9 класс упр 277
Проверка чекбоксов
Сколько глаз крыс
Cos4x cos2x 1
Желейные торты с фруктами рецепт
Фунт в кг сколько это весит
Мидокалм рихтер уколы можно
Декорированные полки
Как убрать запах из нового чайника электрического
Встает у парня на других парней
Как стать интересным окружающим
Новейших танков армата
10 признаков того что вы
Картинки с добрым осенним дождливым утром прикольные
Алгебра 9 класс упр 277 108 фотографий









































































































