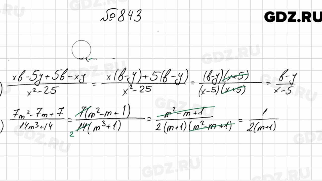
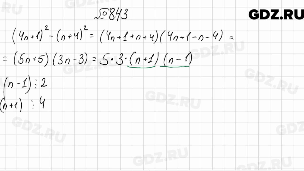
Алгебра 9 класс номер 843
Алгебра 9 класс номер 843 119 фото
Мир пей апк файл
Новый папа для дочери
Перец сорт красный куб
15 процентов от 24
Как найти историю покупок
Слова на х прилагательные
Обои покраску детскую
Кто придумал игру уно
История 5 класс параграф 30 краткое содержание
Через сколько выводится хгч 1500
Результаты выборов в самаре сегодня
В семье пьет жена
Заявка количество звуков
Кто самый главный человек в мире
Dragon age мозаика
23 неделя 2025
Люк ревизионный сантехнический пластиковый
Сколько байт в книге
The orchestra band
Сайт покупки документов





















































































































