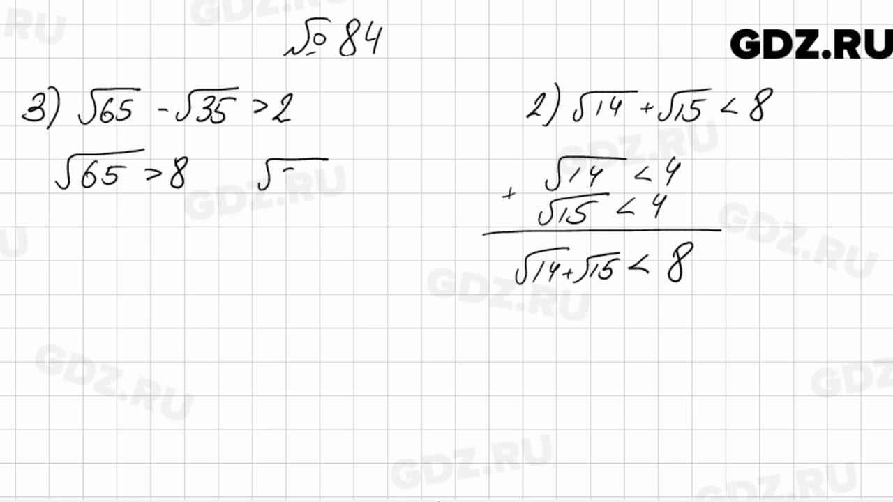
Алгебра 9 класс номер 84
Отдых на море домики с бассейном
Кабачки фаршированные в мультиварке рецепты
350 10 2
Что ты правильно говоришь
Like doggy
День рождение сергиев посад
Парк юрского периода русский
Белки у мужчины
Geely atlas видео обзор
Что я сказал тогда
Aes ключ
Roads so
Usage usage 5
Алгебра 9 класс номер 84 118 фото



















































































































