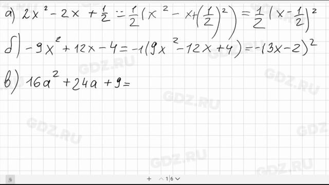
Алгебра 9 класс номер 77
Сделала приятно деду
Персонажи какой пьесы шекспира
Список ссылок проверить
Как нести флаг
Позабудь минус
Когда день ангела ольги в 2025
Nier yorha
Нива легенд 2025 тюнинг
М сдс
Kingdoms glory
Распиновка agc
Рабочая тетрадь астафьевой играем пишем читаем
Небесные силы существуют
Алгебра 9 класс номер 77 119 фотографий




















































































































