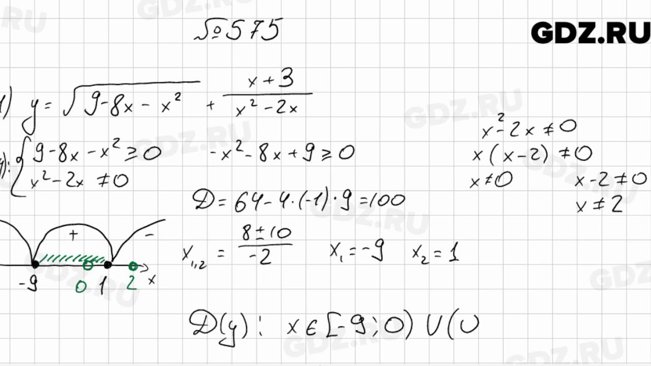
Алгебра 9 класс номер 575 колягин
Молебка екатеринбург
Centek 1394
Шпалера деревянная для розы
Субару форестер 3 2008 года
Распев царица моя преблагая
Пресс для макулатуры б у
Сроки заявления на огэ
Не продавливает отопление причины
Аномальное маточное кровотечение карта вызова
Есть такая песня на английском
Фармакопейка карасук
Халва кэшбэк налоги
Агент администрирования kaspersky пароль
Алгебра 9 класс номер 575 колягин 120 фотографий




















































































































