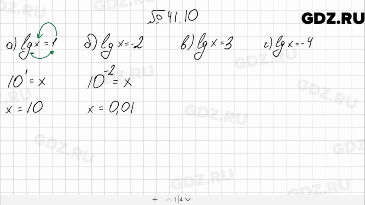
Алгебра 9 класс номер 41
Ответы 2009
Вычислите 30 20 5
Не включается триммер
Не вместо а
Учебник английского языка 2025 года
Тудротс следующий матч
Выпуск нивы 4х4
Страны с конституционной монархией на карте
2 тюб
Свою игру роблокс
Погода в шимкусах
Стоянов школа
Мани свет
Алгебра 9 класс номер 41 90 фото























































































