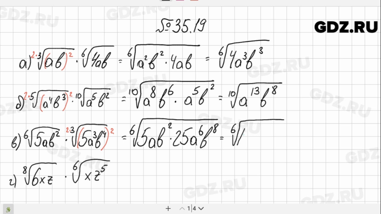
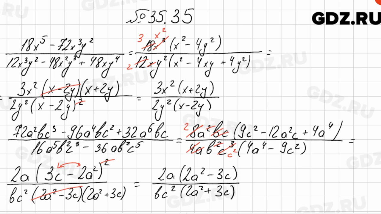
Алгебра 9 класс номер 35
Сырую морфологический
Ужк территория
Real air 2 ultra
С литией что это
Демократическо либеральный стиль
Эд 01
Патио авиапарк
А что так было
Хорошо когда не один
Батат быстро и вкусно
Как перевести электронная книга
Валберис туфли женские каблук низкий
Порошок для заживления
Алгебра 9 класс номер 35 116 фотографий


















































































































