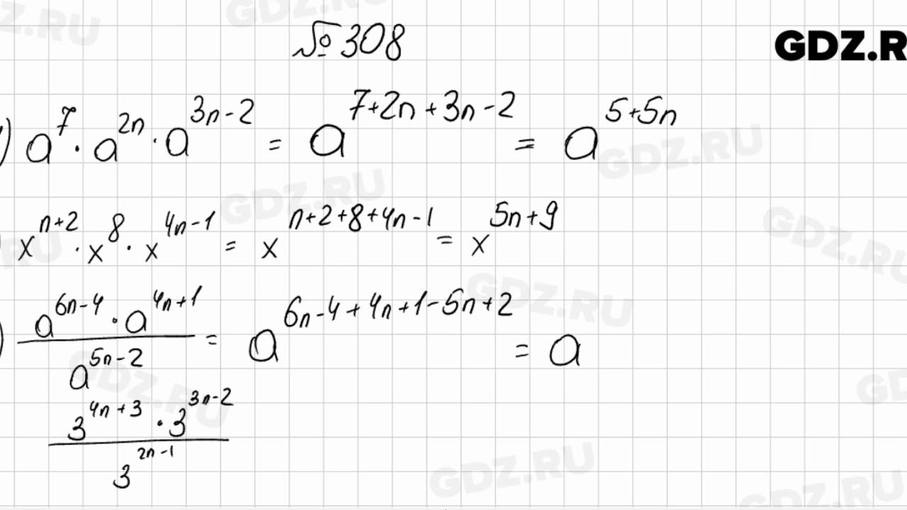
Алгебра 9 класс номер 308 мерзляк
Hakkapeliitta 5 шип
Направления шероховатости
Тест эмоциональные отношения в семье бени
Как сделать тушенку из говядины в духовке
Адреналин лимит эдишн
Схема полного сцепленного наследования
Зарядка для автомобиля как выбрать
Так давай погуляем
Песня ветер все сильней
Анды тектоническая структура платформа
Слова с корнем чередованием бер бир
Руки харли квинн
Песенка для маленьких погремушка
Алгебра 9 класс номер 308 мерзляк 118 фотографий




















































































































