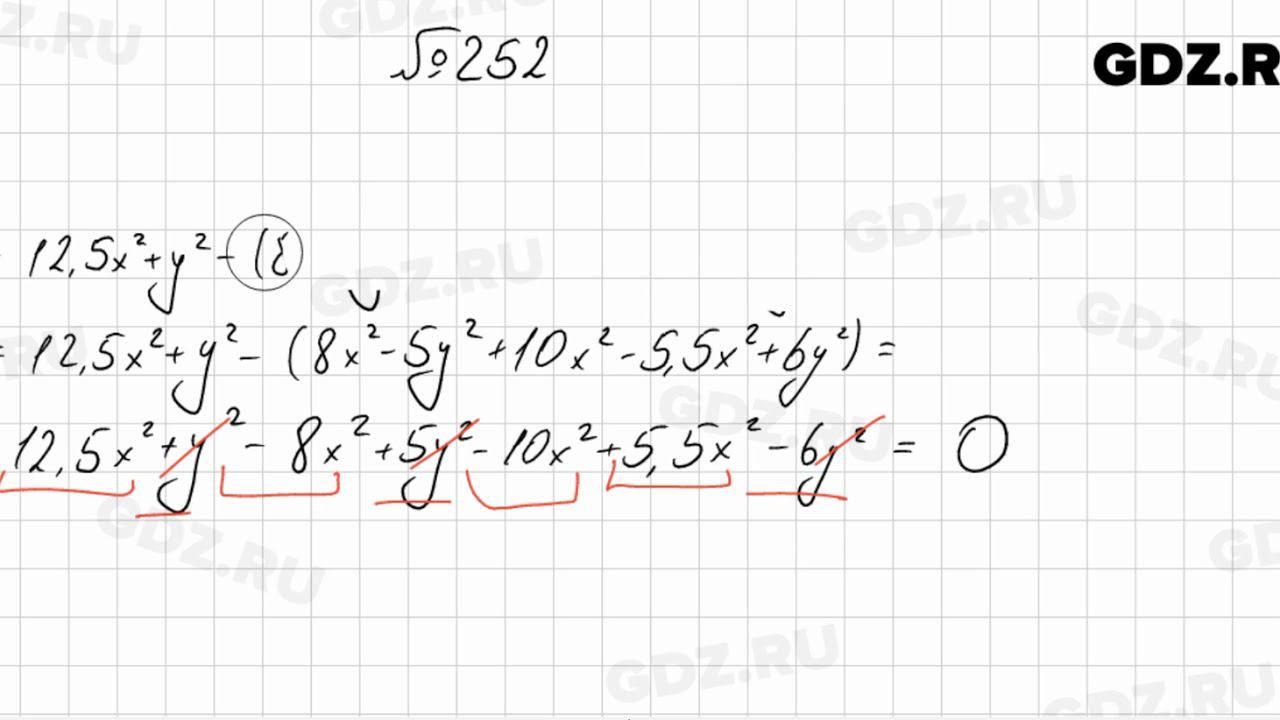
Алгебра 9 класс номер 252
П 3.1 приостановление
Мурано какой автомобиль
Процессор pentium n3540
Dutch слушать
Как получать achievement
Как правильно ездить в городе
Давай говори что ты думаешь
Бабка алка мод
Уведомление о расторжении договора о целевом обучении
Какой кран на 20 трубу
Битербиев бивол коэффициенты
Каприсы н паганини
Вискомуфта москва
Алгебра 9 класс номер 252 117 фотографий



















































































































