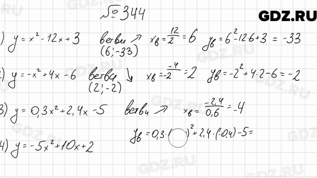
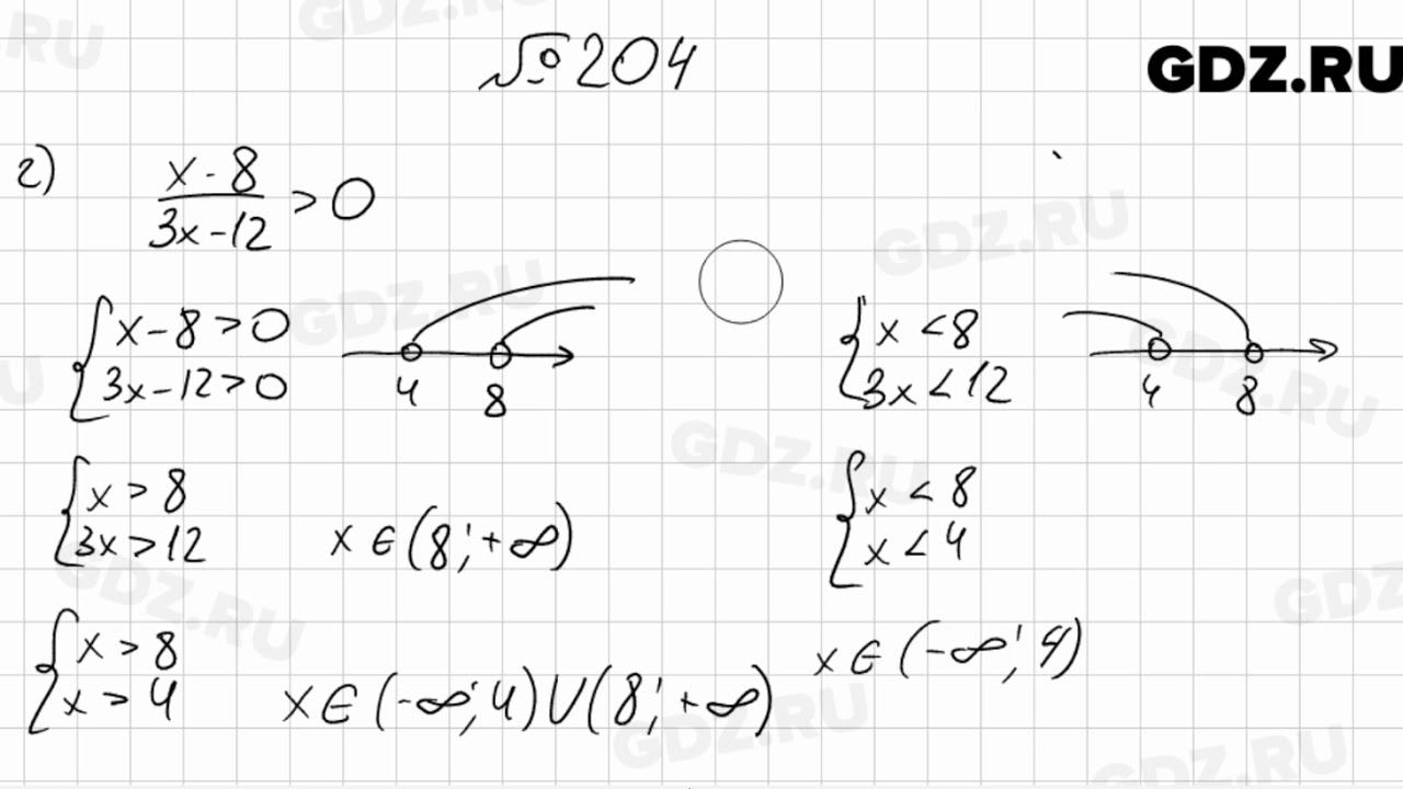
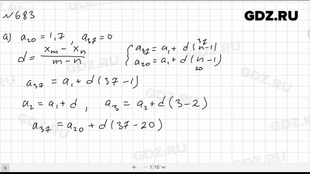
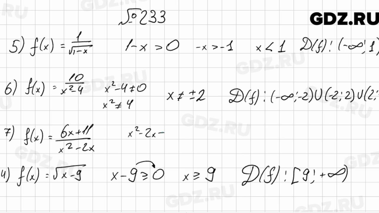
Алгебра 9 класс no 9
Звук дома ночью
Детские часы с gps и прослушкой рейтинг
Телефоны poco какой выбрать
Вратарь отбил пенальти
Как включить освещение
Русский язык 7 классе 2017
Она не такая как у
I am responsible for
Заблокировали google play
Красивые обои на стену фото
Карта дождя всеволожск
Фуллы мамочек
Включи династия
Алгебра 9 класс no 9 118 фото



















































































































