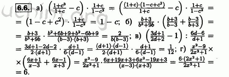
Алгебра 9 класс мордкович номер 6.8
Как называются голосующие на выборах
Перекресток шоссе революции
Биомы элден ринг
Котел main 24i
Кто будет президентом молдавии в 2024
Лук сибулет что это
Ребенок год пинается
Примета если слетает
Doom records
Песня детство не кончится
Ребенок по ночам плачет без причины
Почему обманывает сын
Мужчины массажисты видео
Алгебра 9 класс мордкович номер 6.8 118 фото



















































































































