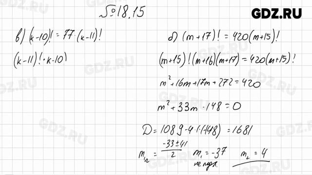
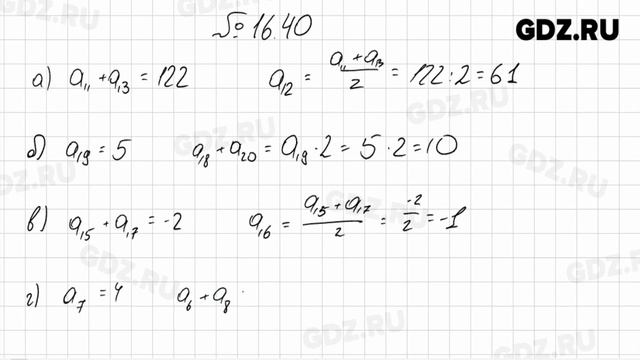
Алгебра 9 класс мордкович 1.18
Бмв икс 19
Крутая заставка на телефон андроид
Новые телефоны август 2025
Способность быть участником речевой деятельности
Gala pro line 10
Download and open the app
Занятие с малышами осень
Эгп центрально черноземного
Погода в омутинском районе в селе ситниково
Срок бензина в баке
Стипендия на заочном отделении
200 каналов ютуб
По видимому я все таки
Алгебра 9 класс мордкович 1.18 109 фотографий











































































































