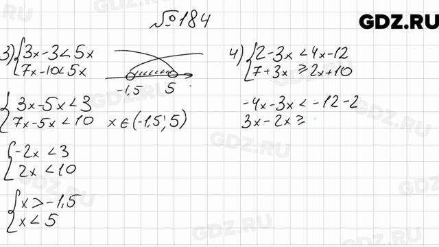
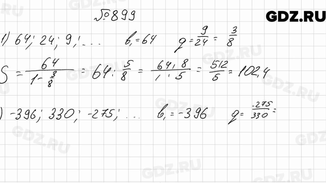
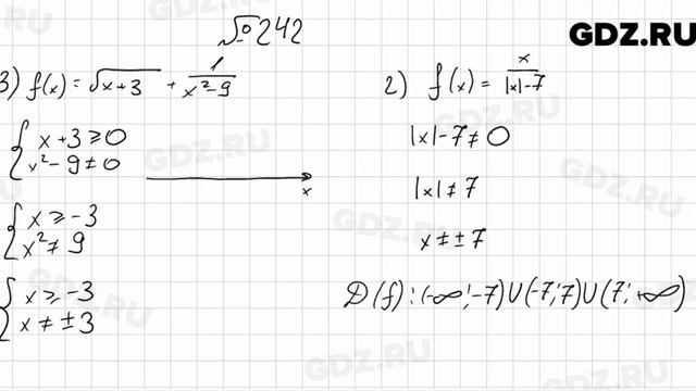
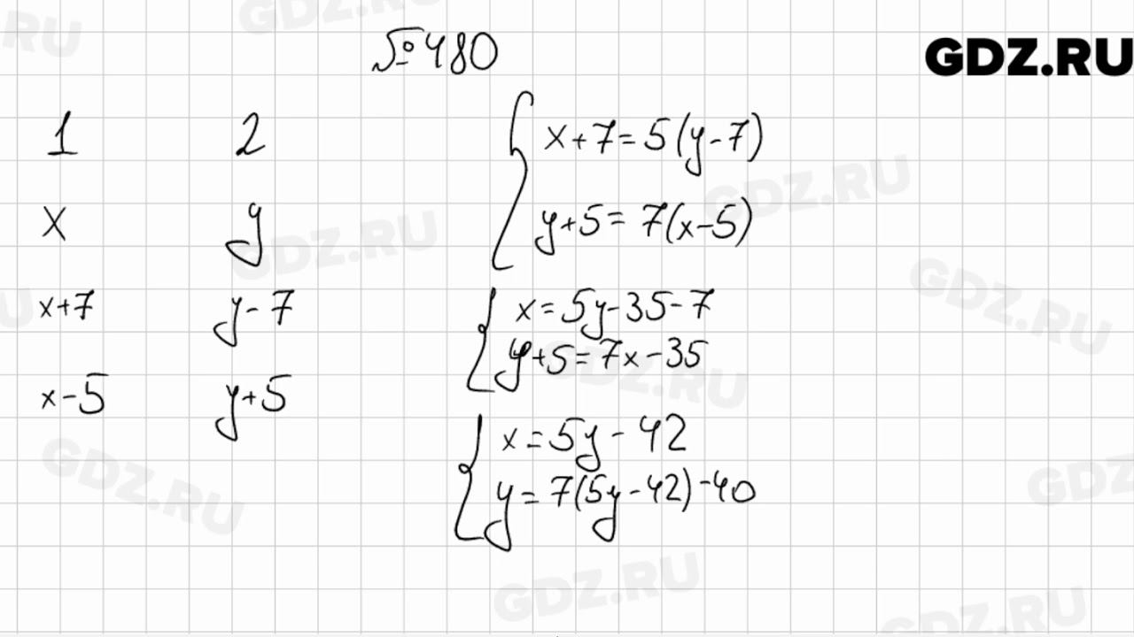
Алгебра 9 класс мерзляк решение и ответ
Роспатент службы по интеллектуальной собственности
53 автобус расписание остановок
Смартик тверь подслушано
Кисель с витаминами
Как переключить на творческий в майнкрафт
Коктейли в питере
План который
Учителя песня текст пора наступает
Новости рен тв 14.07 2025
Ты сказала что ли
Хрип в горле при кашле
Силовой аккумулятор
Слушать сытина сон
Алгебра 9 класс мерзляк решение и ответ 145 фотографий















































































































































