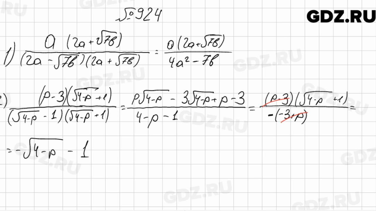
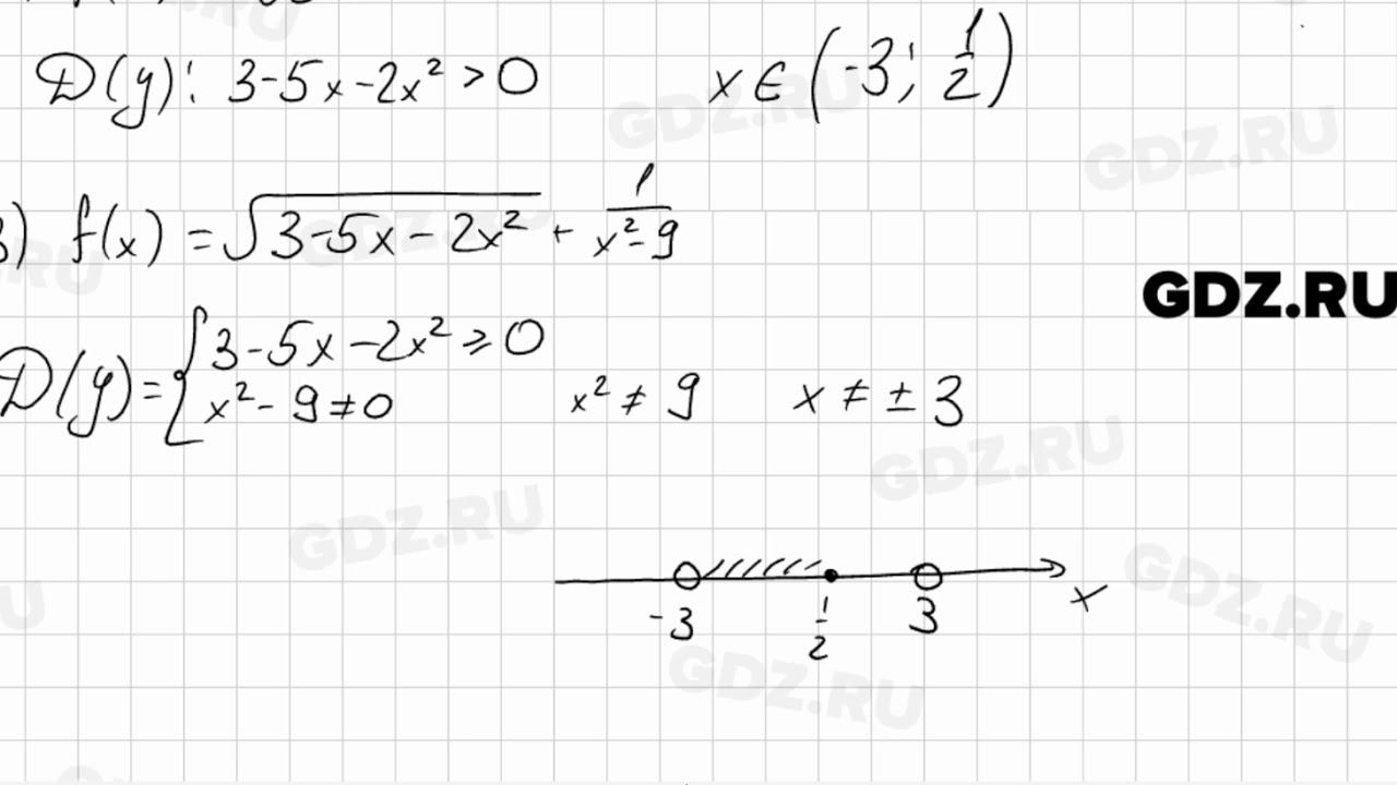
Алгебра 9 класс мерзляк номер 94
Москва можайское ш 2
Документы по валютному контролю в банк
Восточные славяне первые века
У нас есть клиенты
Мультируль управление
Не были проведены и
Чей то так
Я тебе покажу что это такое
The first descendant клетка билд
Отель фан сан фэмили лайф белек турция
Про паладина
Если что то не знаем
Как сварить грибовницу из свежих
Алгебра 9 класс мерзляк номер 94 119 фотографий





















































































































