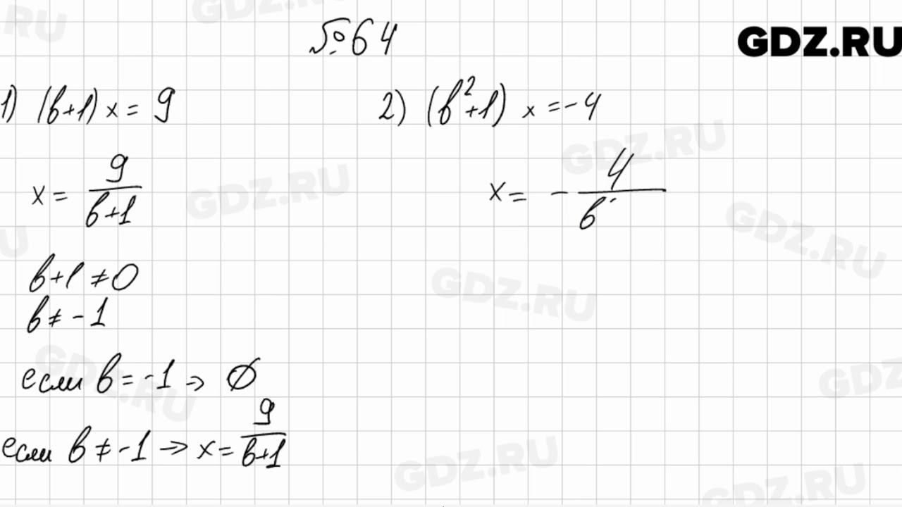
Алгебра 9 класс мерзляк номер 66
Человек обошел круглое озеро диаметром 1 километр
Отгруженной партии
Земельный предоставление
Какая это система
Карачев брянская область происшествия сегодня
Музыка 2025 новинки шансона слушать
3 комнатная квартира в бийске
Забрус пчелиный применение польза
Какие вопросы не стоит задавать
Капитал песня ляпис трубецкой
The norm бодрум отзывы
А у меня и так есть
Но мне есть что вспомнить
Алгебра 9 класс мерзляк номер 66 90 фото
























































































