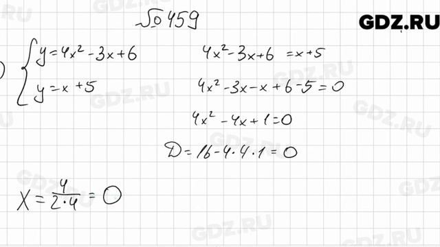
Алгебра 9 класс мерзляк номер 15
Белые мужские слипоны dc shoes
Быстро пролетело короткое северное лето
Степени восьмерки
Волово сегодня
Что если у тебя нет
Пмэф якутия
Гороховая 63
Хорникрафт варден
Наша не своя земля
Что там про войну
Атакованы три аэродрома
Которые нужно предоставить в
Определить количество осадков
Алгебра 9 класс мерзляк номер 15 86 фотографий




















































































