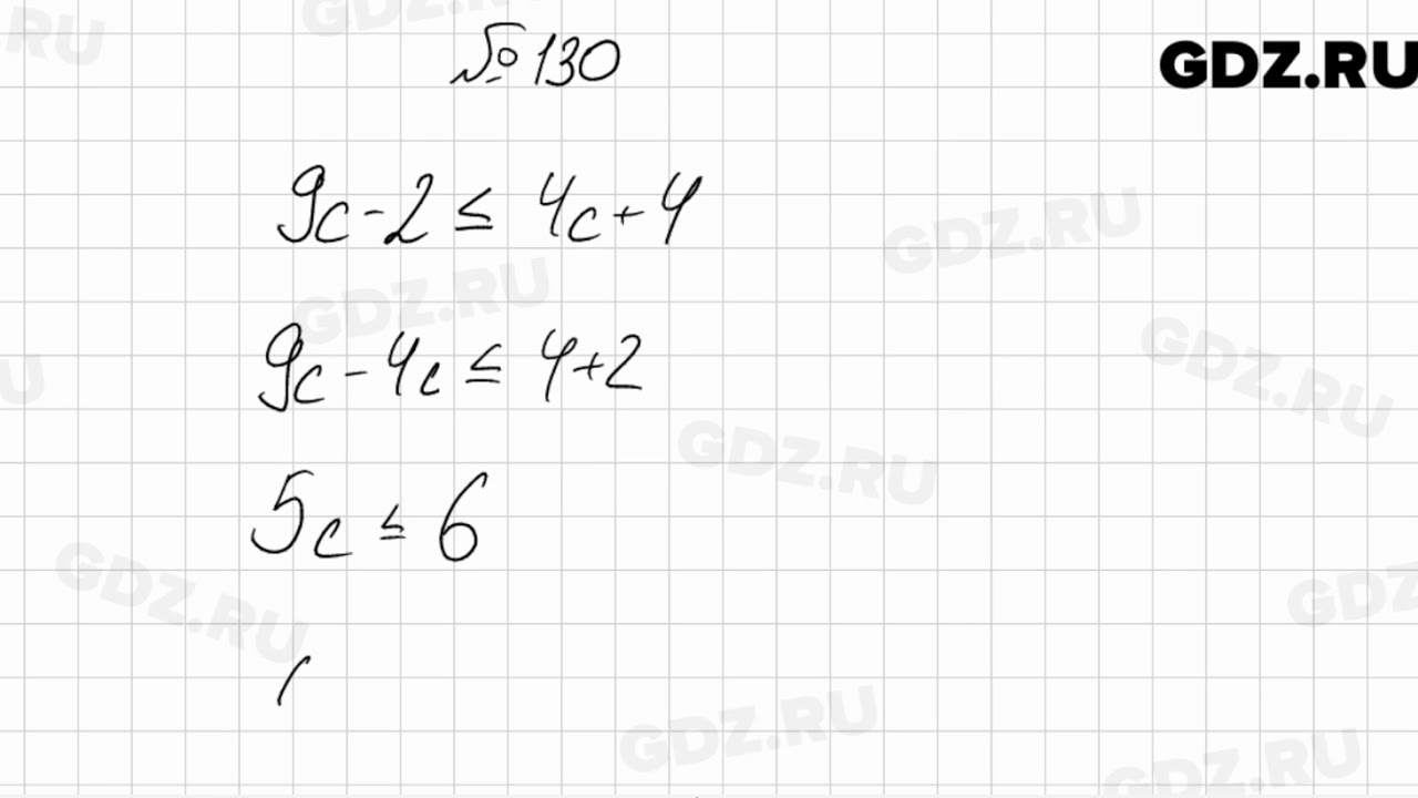
Алгебра 9 класс мерзляк номер 137
Кремниевая или силиконовая долина
Проезд в транспорте по банковской карте
Карачи погода сегодня
На наклонной плоскости образующей угол
I looking for you песня
Кредитная нагрузка кредитная карта
Крыша из металлокаркаса
G17 i7nd315
Спиши дополняя предложения прилагательными
Равнобедренный треугольник пересечение высот
Отчет отдела производственной практики
Время длительности егэ 2025
Ela joga na hora speed
Алгебра 9 класс мерзляк номер 137 90 фотографий
























































































