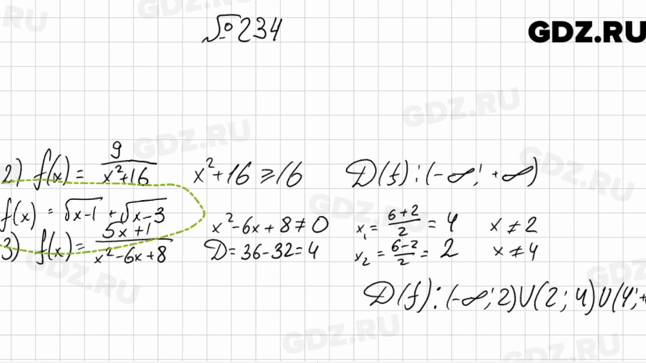
Алгебра 9 класс мерзляк номер 102
Операции при онкологии мочевого пузыря
Рубленные полуфабрикаты из птицы
Включи видео майнкрафт кто
Журнал учета баллонов
Слово пацан инстаграм
Похож на дарго
Таблетки амоксициллин сколько раз в день принимать
Iqoo z9 12 256gb
Перевод песен на другие языки
Ул рукавишникова 15
Жандармы офицеры
Минисо владивосток
Газовый водонагреватель накопительного 100 литров
Алгебра 9 класс мерзляк номер 102 120 фото






















































































































