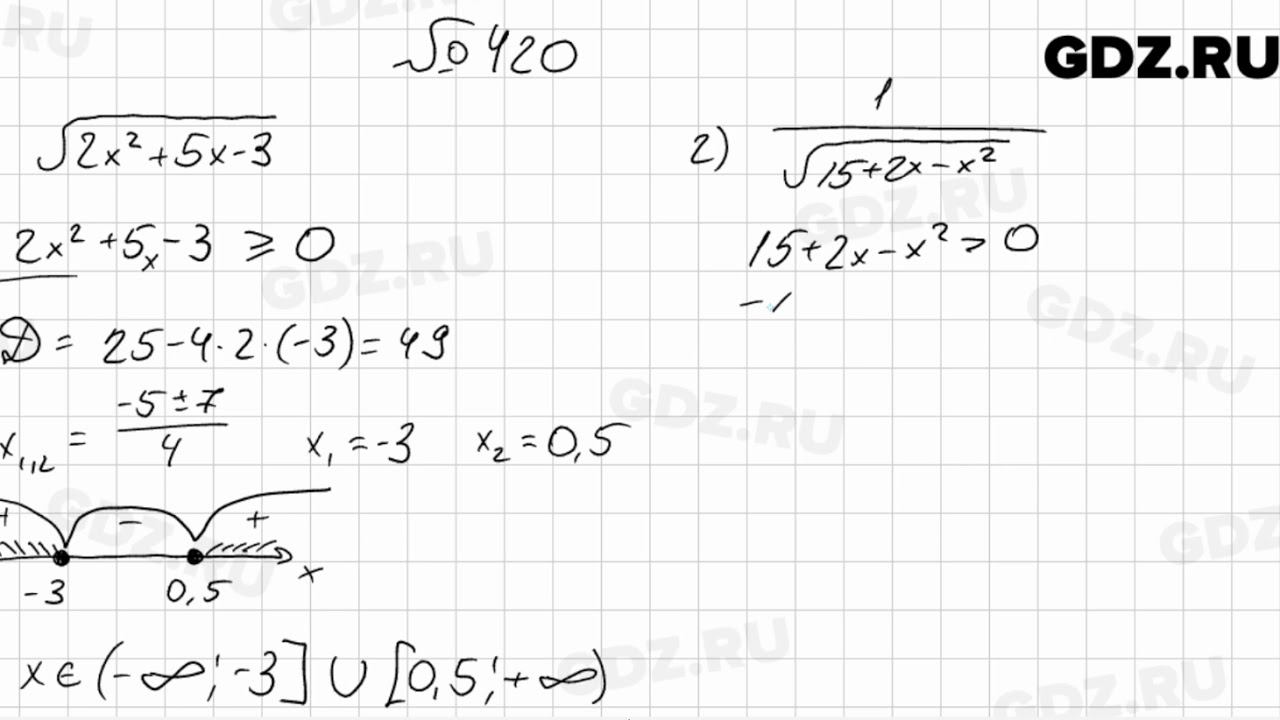
Алгебра 9 класс мерзляк 950
90 футов в кг
Легенды и мифы 1 выпуск
Слишком много пластиковых карт
Как борщ сделать красным от свеклы насыщенно
Как припаять провода микрофона
С днем рождения главе семьи
Счет т 62
Blue stratocaster
Норма и правило различие
Элемент столба забора
Население урала города миллионеры
Махалов республика алтай
Автокресло mustang 9 36
Алгебра 9 класс мерзляк 950 113 фотографий















































































































