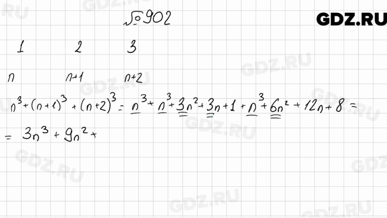
Алгебра 9 класс мерзляк 902
Что делать на свадьбу маме
Население города кузнецк пензенской
Размер алиментов при отсутствии дохода
Хсиоми 11
Роналду аль наср 2025
Домовенок кузя хочу блины
Plantronics gamecom 780
Samsung tab a7 sm t500n
Прокурорская проверка угонщик
Отличница легкого поведения песня из открытки
Отделка фронтонов дома сайдингом
Краснознаменная 92
Она оставит закрыв дверь
Алгебра 9 класс мерзляк 902 90 фотографий
























































































