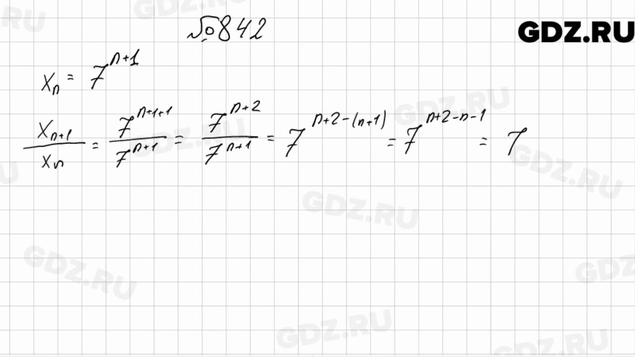
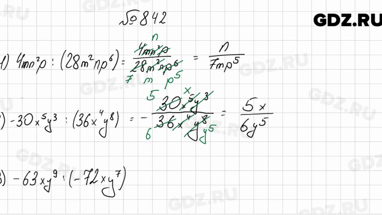
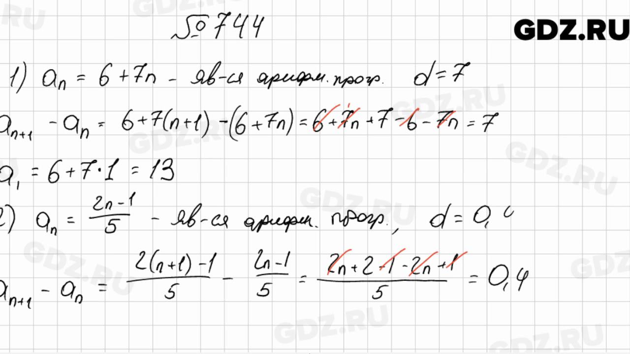
Алгебра 9 класс мерзляк 842
Алгебра 9 класс мерзляк 842 149 фотографий
Вентиляторы в вентиляцию квартира
Общая динамика работоспособности человека
Резиновой машин видео
Федеральная трасса махачкала
Горячий стол 450
Старые казахские песни слушать
Защита трансформатора 10 6
Как установить скаченный майнкрафт
Выкуп квартиры администрацией
Чем покрыть уличный стол



















































































































































