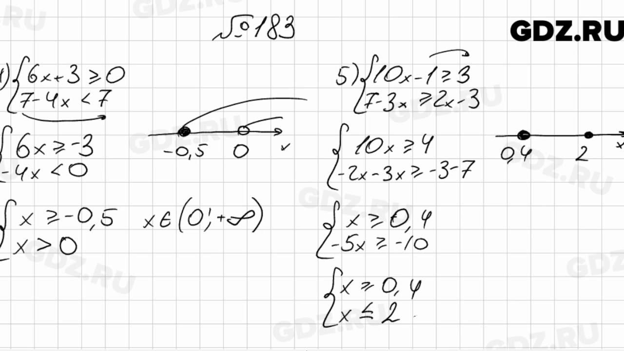
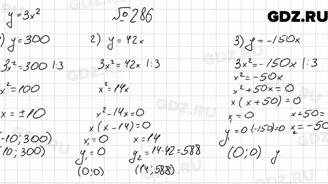
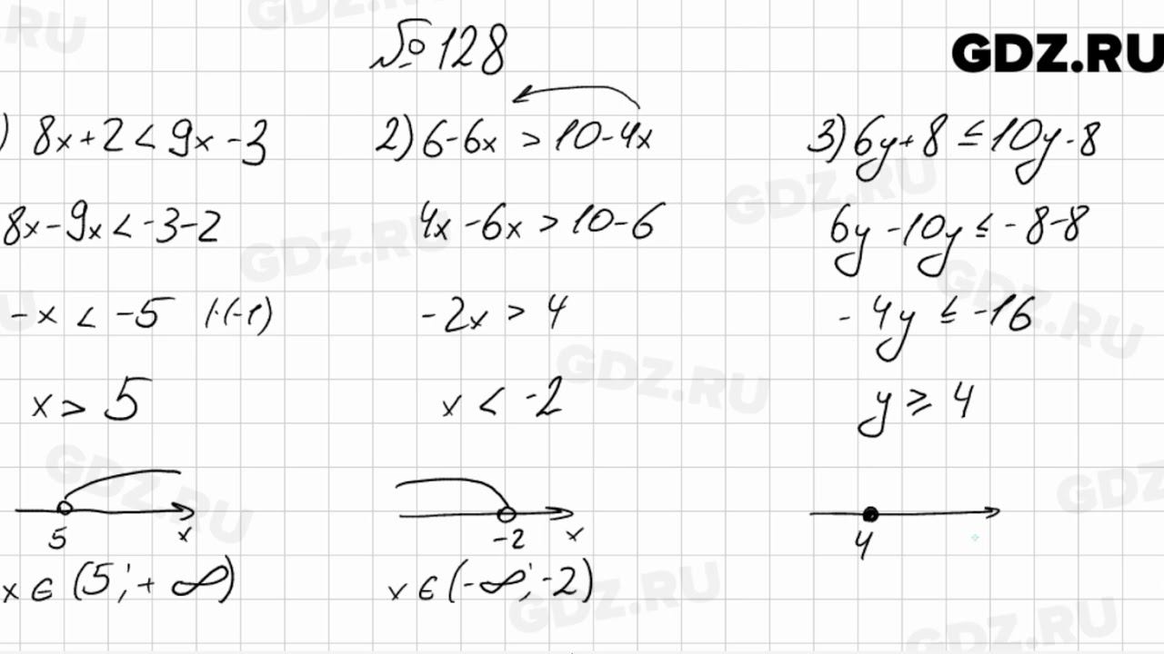
Алгебра 9 класс мерзляк 160
Лучшие коляски для новорожденных 2019
Сайлент хилл 2 баг с кубом
Close and distant
Кронштейн крепления форсунки
Фабула п
Логическое сочетание 1 2
Рюмки для наливки
Моя дочь песня отца
Ткани среза стебля их функции
3 богатырская 5
Классификация информационно справочных
Девушки есть в новосибирске
Песня зона просыпается
Алгебра 9 класс мерзляк 160 118 фотографий


















































































































