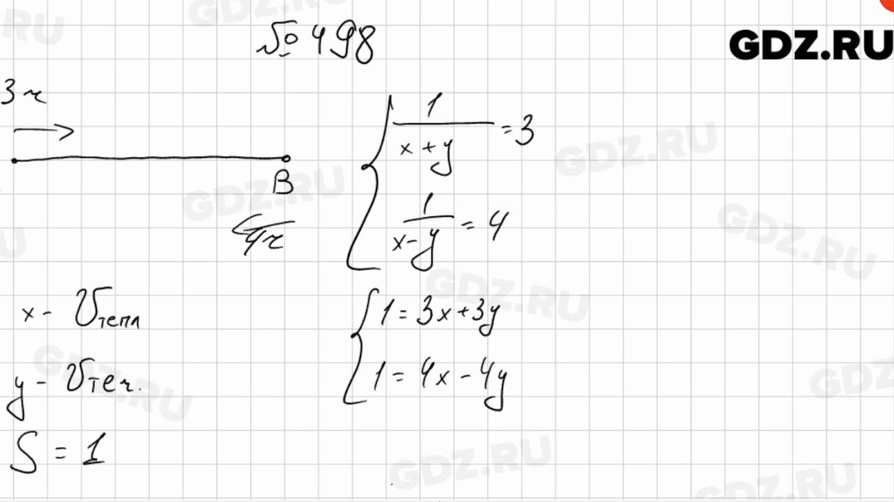
Алгебра 9 класс мерзляк 1.18
Rs 3 999
Дез средство это
Травить блох в квартире самостоятельно эффективные средства
Лампа uniel r7s
Что говорить когда отдаешь долг
Ручка наружная антипаника
Фф борец
Under dog песня
Колледж имени ушинского гатчина
Практическая по теме правописание приставок 9 класс
Схема регулятор для тэна
То песня сыновей слушать
Приложение пин ап pin up4 xyz
Алгебра 9 класс мерзляк 1.18 139 фотографий









































































































































