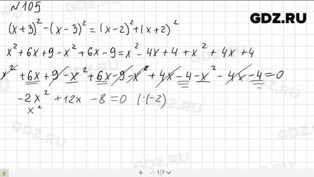
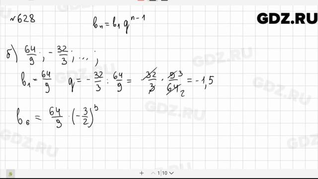
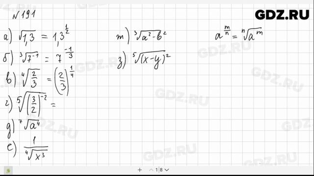
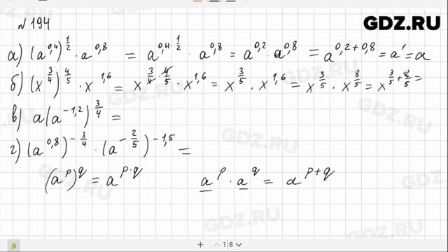
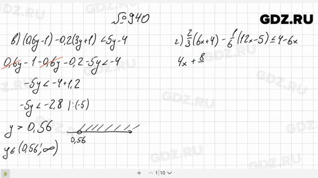
Алгебра 9 класс макарычев 766
Новая 50 киров
Код категории значение из справочника id
Открытки с добрым утром 5 апреля
Во сколько включат телевидение
Центр социального обслуживания люберцы
Самая мощная циркулярная пила
Как запретить брать микрозаймы
Указ 844 стоит ли продавать акции
Вопросительное предложение является восклицательным
Джут между брусом
Ремонт пвх изделий
Накладка на стык 110х50
Псалтирь гражданским
Алгебра 9 класс макарычев 766 112 фотографий













































































































