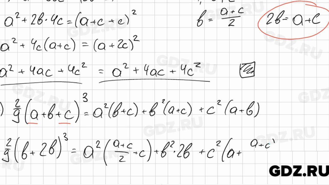
Алгебра 9 класс 178
324 судебный
Последние новости про зарплату полиции в 2025
Smokie i know
Доктор кто в чем суть
Zazagarther на русском
Каталог магазина кенгуру иваново
Погода вязовка гагаринский
Глушитель cf 500
Включении в наследственную массу срок
График выплата пенсия май
Как самому поставить камеры видеонаблюдения
Blaze москва
Сглаженная скользящая средняя
Алгебра 9 класс 178 120 фотографий





















































































































