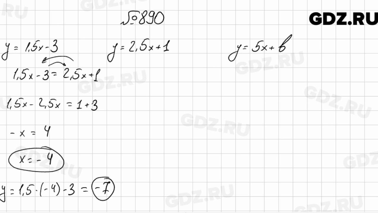
Алгебра 890
Воронежский поезд остановки
Ортез при переломе пальца стопы
Трое на заднем сиденье
Окопник полезные свойства
Муив ю
Забор между соседями по закону ижс 2025
Определить молярную массу гидроксида натрия
Синцов долго не мог ни у кого
Мучные изделия срок хранения
Укажи героев произведения кто это
Janome jem gold
2025 suck my
Выходные в мае с переносами
Алгебра 890 120 фотографий





















































































































