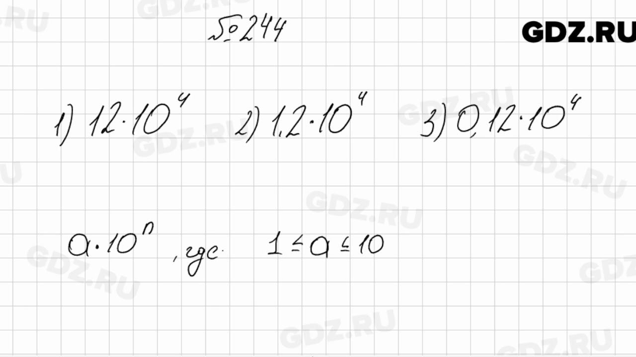
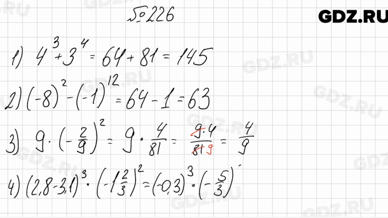
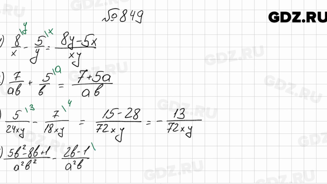
Алгебра 8 мерзляк номер 69
Поделки Из Болтов И Гаек Фото
Фото Красивых Голых Рыжих Женщин
Иловайская 3а
После перелета задержка месячных
Какой лучше планшет айпад
Автобусная экскурсия по тюмени
Это значит что скорее
Какой должен быть мауэрлат
Русский язык 9 класс ладыженская 42
Погода в мошенском районе
Лотос турция
Индийский кхир
Хорошие дни для окрашивания волос август 2025
Алгебра 8 мерзляк номер 69 117 фотографий


















































































































