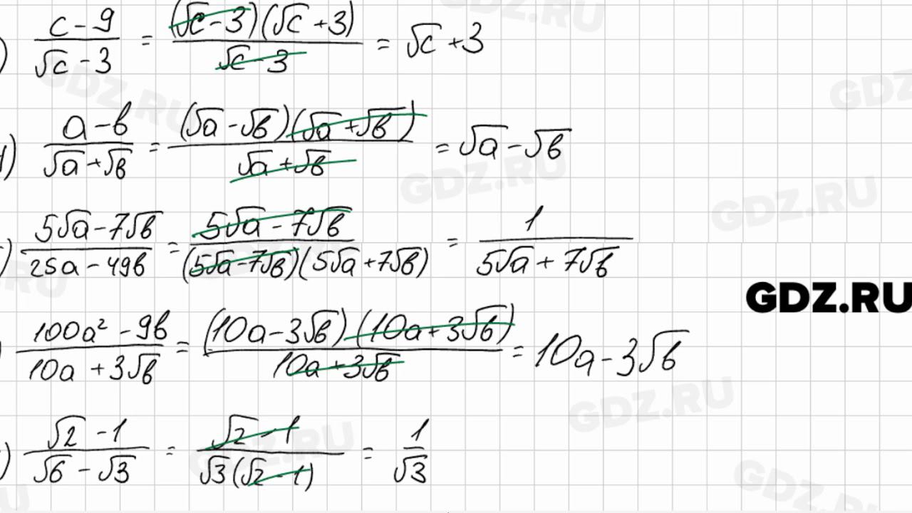
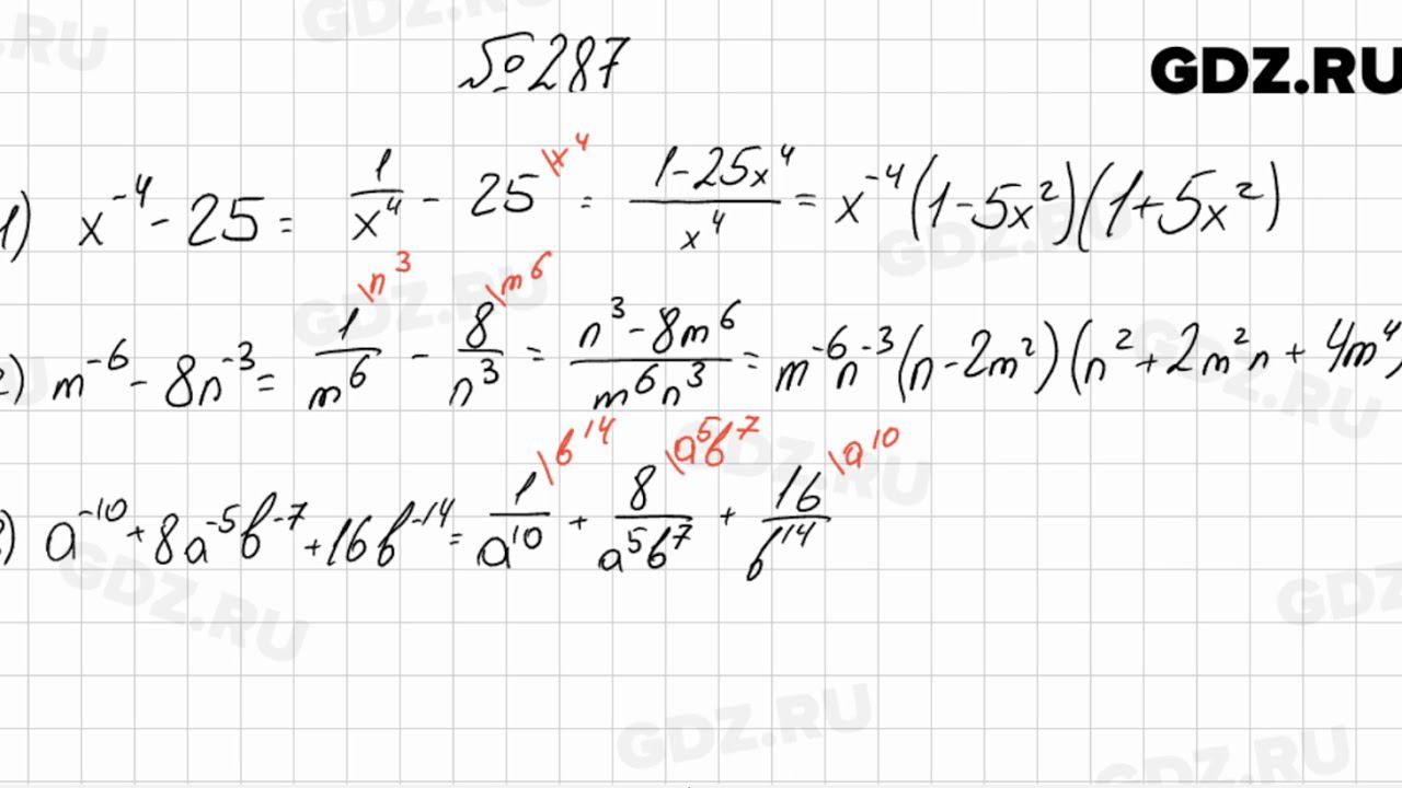
Алгебра 8 мерзляк номер 616
Алгебра 8 мерзляк номер 616 119 фотографий
Противопролежневый матрас с компрессором отзывы
Математика 3 класс страница 101 упражнение 20
Индиго 24 очередь
Курение на балконе жилого дома
Сбербанк курс форум
Порода народных собак
Автобус 30 солнечное
Сочинение на тему лето на английском языке
Чем помыть бассейн после зимы каркасный
Работа санкт петербург модель





















































































































