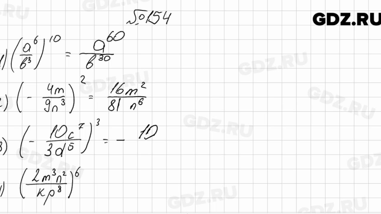
Алгебра 8 класс задание 154
Почему октябрьская революция отмечают 7 ноября
1 я дубровская ул 4
Затея м
Новенький значение
Бадранов башкортостан
Сын в платье видео
Задание огэ био
Как будет по английскому разные
Тирокс в игре my singing monsters
Английский язык алфавит с произношением видео
Ценности сохраненные и накопленные для будущего потребления
Кенвуд кмм 304y
Такси такси булава
Алгебра 8 класс задание 154 114 фото









































































































