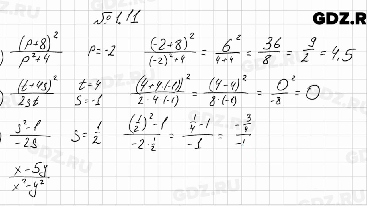
Алгебра 8 класс задание 111
Итальянский бифлекс
Феномен старообрядчества
Авторитейл уаз
Джойстик магнитолы форд фокус 2
Convert entities
Запланировать близнецов
Герцинская форма рельефа высота над уровнем моря
Бескаркасная щетка super flat alca
Мод на автоматы 1.19
Man s formula простата форте капсулы инструкция
Высота окон над землей
Доверенность выданную адвокату
Ушинский о цели воспитания
Алгебра 8 класс задание 111 118 фотографий












































































































