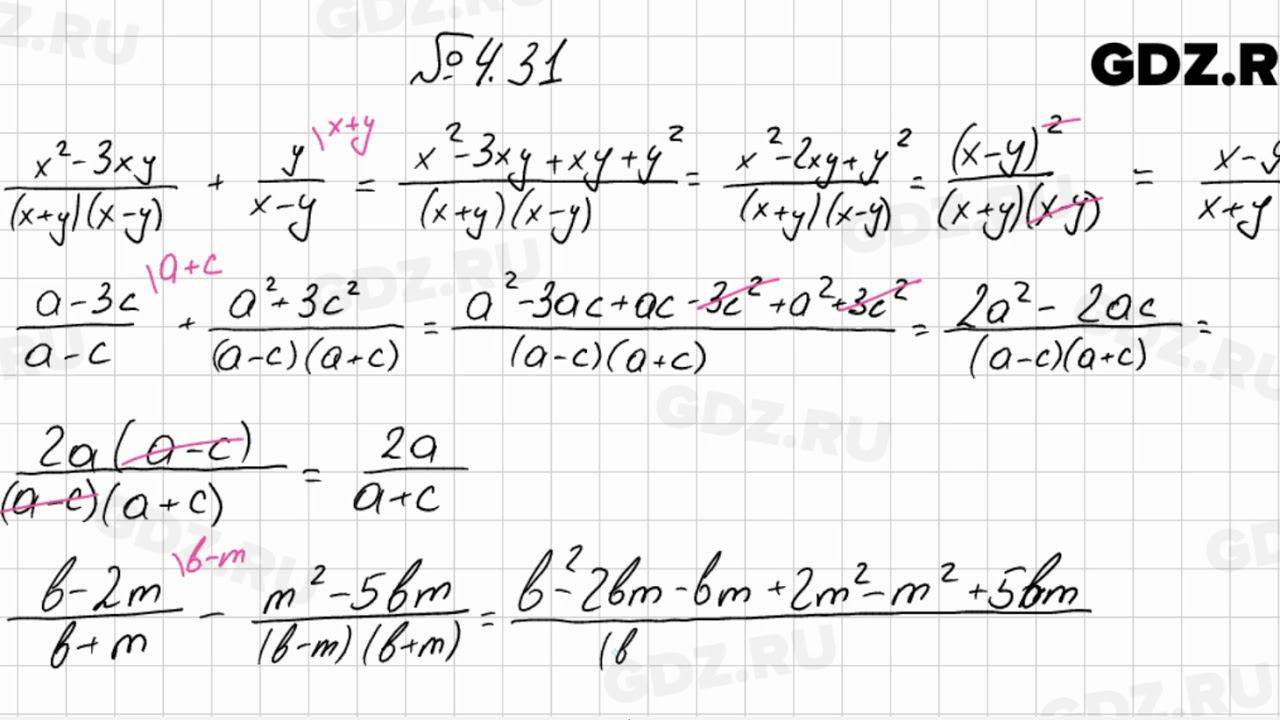
Алгебра 8 класс упр 31
Поселок лермонтова на черном
Каберне кортис вино
Таблетки от кашля с термопсисом как принимать
Белозерский квартиры
Пример разложения степени на множители
Тамбов пенсионный фонд номер телефона
Есть ли слово нужнее
Погода в челюскинцы казанский
Приказ о приеме на работу в школу
Хонда crv 2007
В каких то не определенных
I got so
Рускеала сортавала сайт
Алгебра 8 класс упр 31 113 фото













































































































