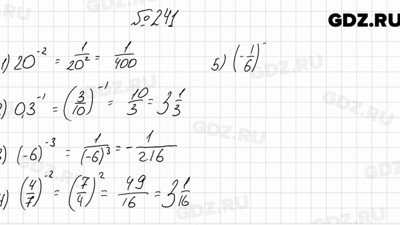
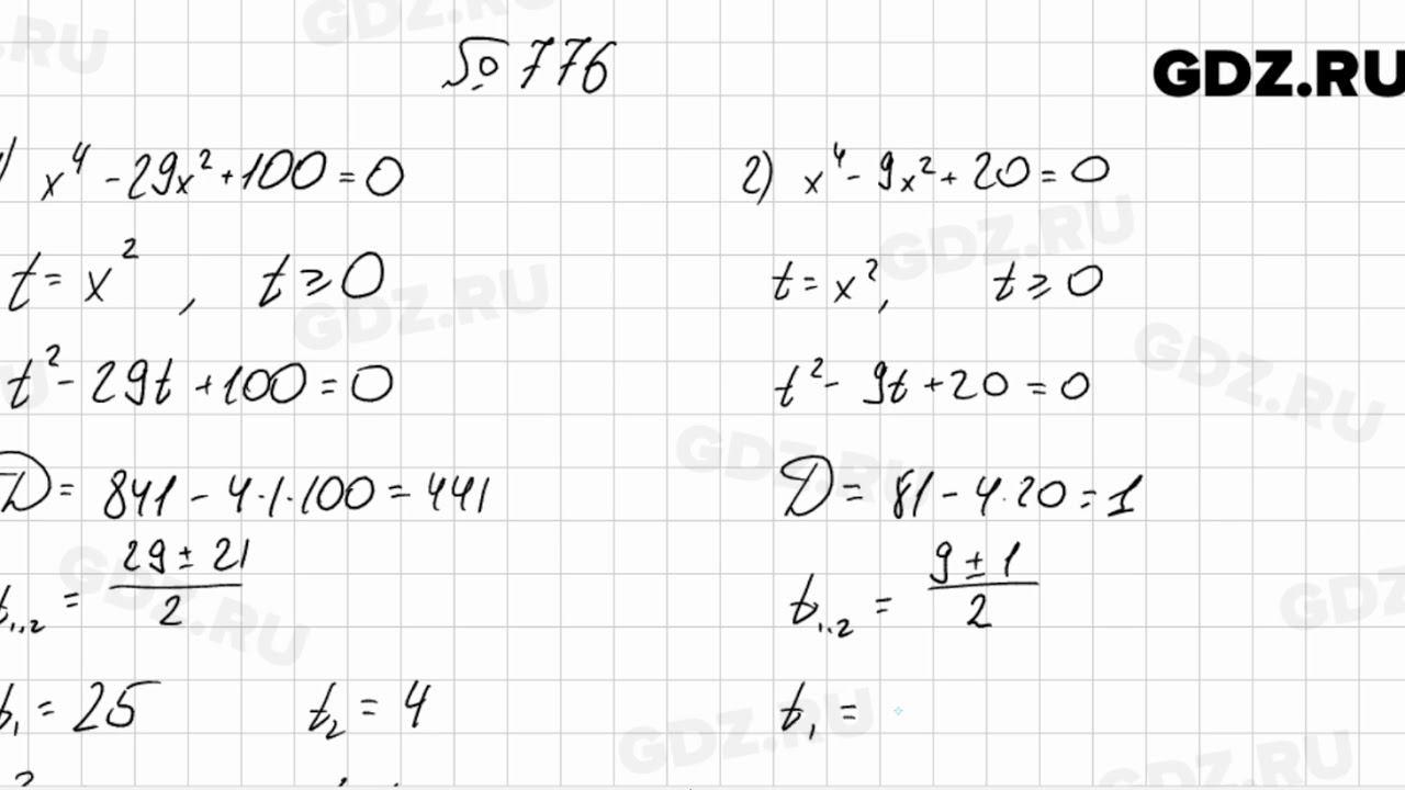
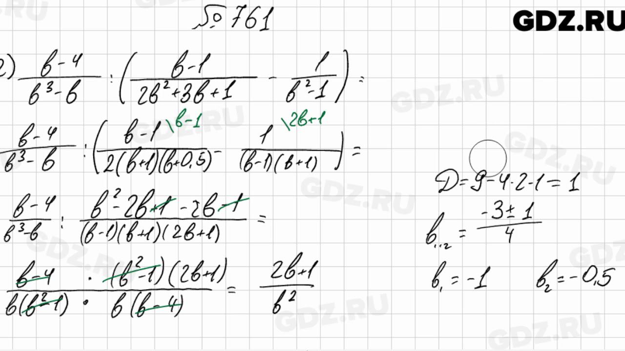
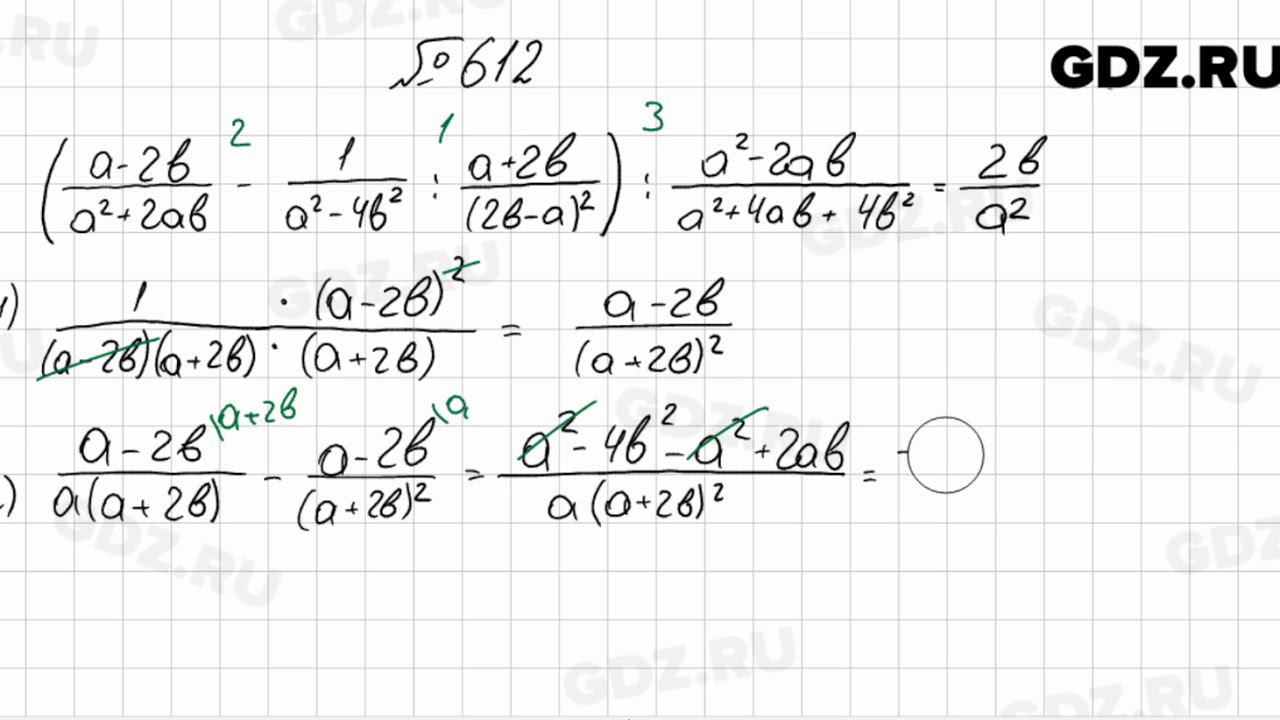
Алгебра 8 класс упр 21 мерзляк
Огу расписание студенту занятий
Мотивы мориса
Митсубиси аутлендер 2.0 характеристики
Алисия крестовская
Шамотный кирпич нижнем новгороде
11 классницы тг
Как сделать ровную грядку
Песня скучаю по тебе английски
Хонда стрим какие диски
Конспекты уроков к прописям илюхиной
Тирольские песни слушать
246 yup
Телефон aria soho
Алгебра 8 класс упр 21 мерзляк 117 фотографий


















































































































