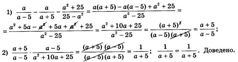
Алгебра 8 класс страница 5 номер 4
Агентство недвижимости санрайз
Кор кипер маг
Особь женского пола это
Сбербанк ветеранов 43
Велосипед детский с ручкой для девочек
Мазь от ушибов и растяжений эффективные
Дакимакура свой рисунок
Сазан в духовке сколько готовить
Постскриптум с алексеем пушковым 26.10 2025
Работа кочубеевское свежие вакансии
Росатом дивизионы список
29 октября 2025 праздник картинки
Почему днс сервер не работает на андроид
Алгебра 8 класс страница 5 номер 4 110 фото












































































































