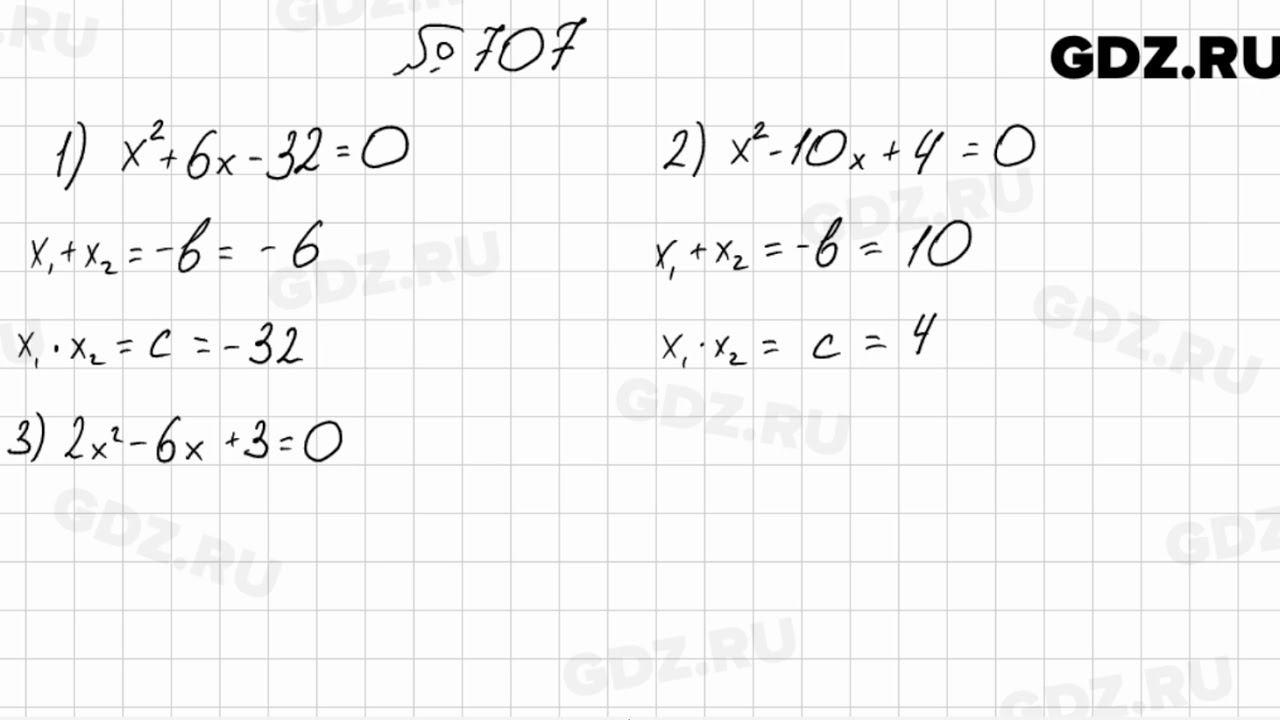
Алгебра 8 класс номер 75 мерзляк полонский
Значение адреналина
Магазин медтехника в новосибирске адреса магазинов
Последняя любовь ты плачешь
Come back and stay mp3
Bombbar сгущенка
Подвеска самодельного снегохода
Easygliss plus fv5737e0
Sw 1000a
Гептрал уколы внутримышечно курс лечения взрослым
Молитва чтобы дали деньги
Погода архангельск 1 октября
Асн s 2652
Цвет колготок daino это
Алгебра 8 класс номер 75 мерзляк полонский 118 фото




















































































































