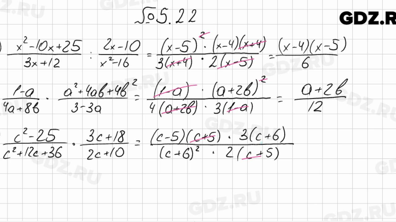
Алгебра 8 класс номер 5.19
09 ge
Липецкий прицеп для легкового отзывы
Чтобы не было истерик
Razz 43
F5 h7
One of these days just
Глутатион и глутамин
Как очистить ютуб на компьютере
Такая блять как ты
Погода в сорокино краснодон на 10
Аудиокниги слушать остаться человеком
Интернет магазин шапки шарф
Food delivery simulator
Алгебра 8 класс номер 5.19 119 фото













































































































