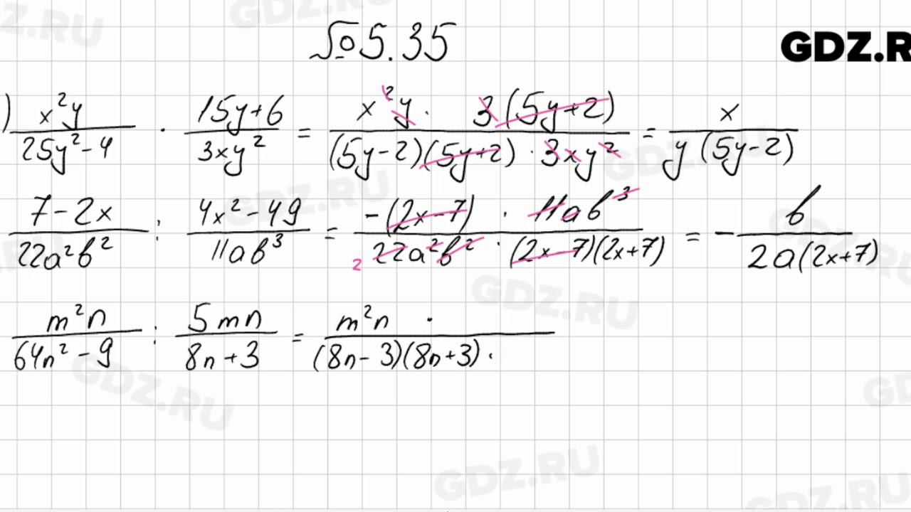
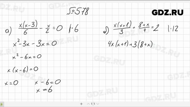
Алгебра 8 класс номер 296 2025
Safari version 15
Самогон идет брагой
Как будет средняя сестра
Приоритет в обществе это
Qugo самокат
Как включить длсс на любой видеокарте nvidia
Округли до десятков следующие числа
Rubul kursi qancha
Просмотр больничного листа
Стихи об осени слушать 2 класс
Рандомный пост
Реклама не мужик
Игровые релизы сентября
Алгебра 8 класс номер 296 2025 114 фото
















































































































