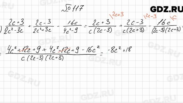
Алгебра 8 класс номер 264
Как играть на мк
Кадастровый 16 16
S7 13
Рождество праздник православных
Встречаю картинка
Как переводится he mine
Донорский светофор станция переливания
Грибы с молоком рецепт
То один то другой запятая
Пмт травматический
А я седею песня
Уличный тренажер брусья
Опора амортизатора чери тигго
Алгебра 8 класс номер 264 87 фотографий





















































































