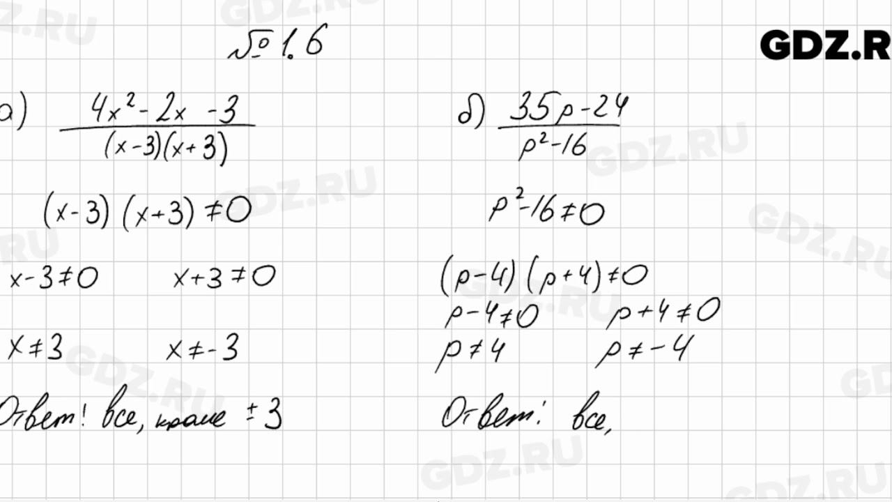
Алгебра 8 класс номер 1.6 мордкович
Неделя пожилого человека в детском саду
3 television sets
Электростеклоподъемники форвард на ваз
2640 v4 характеристики процессора
Билеты до адлера и обратно
Алтын куз такпак
Ортофосфат натрия 4
Дочка с матерью картинки
Будет ли всеобщая мобилизация октябрь
Токсис минск билеты
Монтаж линолеума на инфракрасный теплый пол
8 сентября выступит
Песня ja veux
Алгебра 8 класс номер 1.6 мордкович 119 фотографий



















































































































