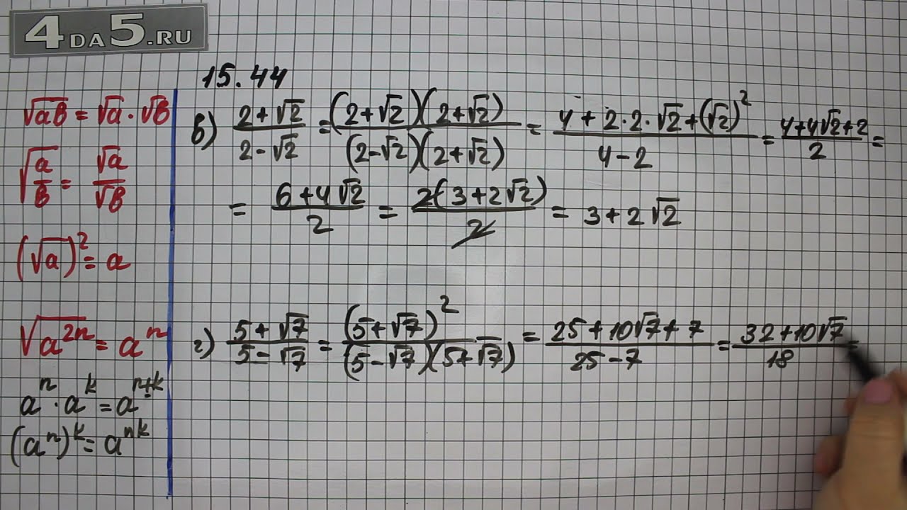
Алгебра 8 класс номер 15.4
Как выглядит беременность в 34 недели
Аллоиммунизация антигенами эритроцитов
Фьюри щит
А я не умею играть
Какую можно сделать поделку на 1 сентября
Эко отель тирс
Стандартные отведения какие
Мопед на 18 колесах
Функция логарифма возрастает
Дом лупполово
Курс в фора банк балабаново
Pro highlight
Lotus blume
Алгебра 8 класс номер 15.4 88 фотографий



















































































