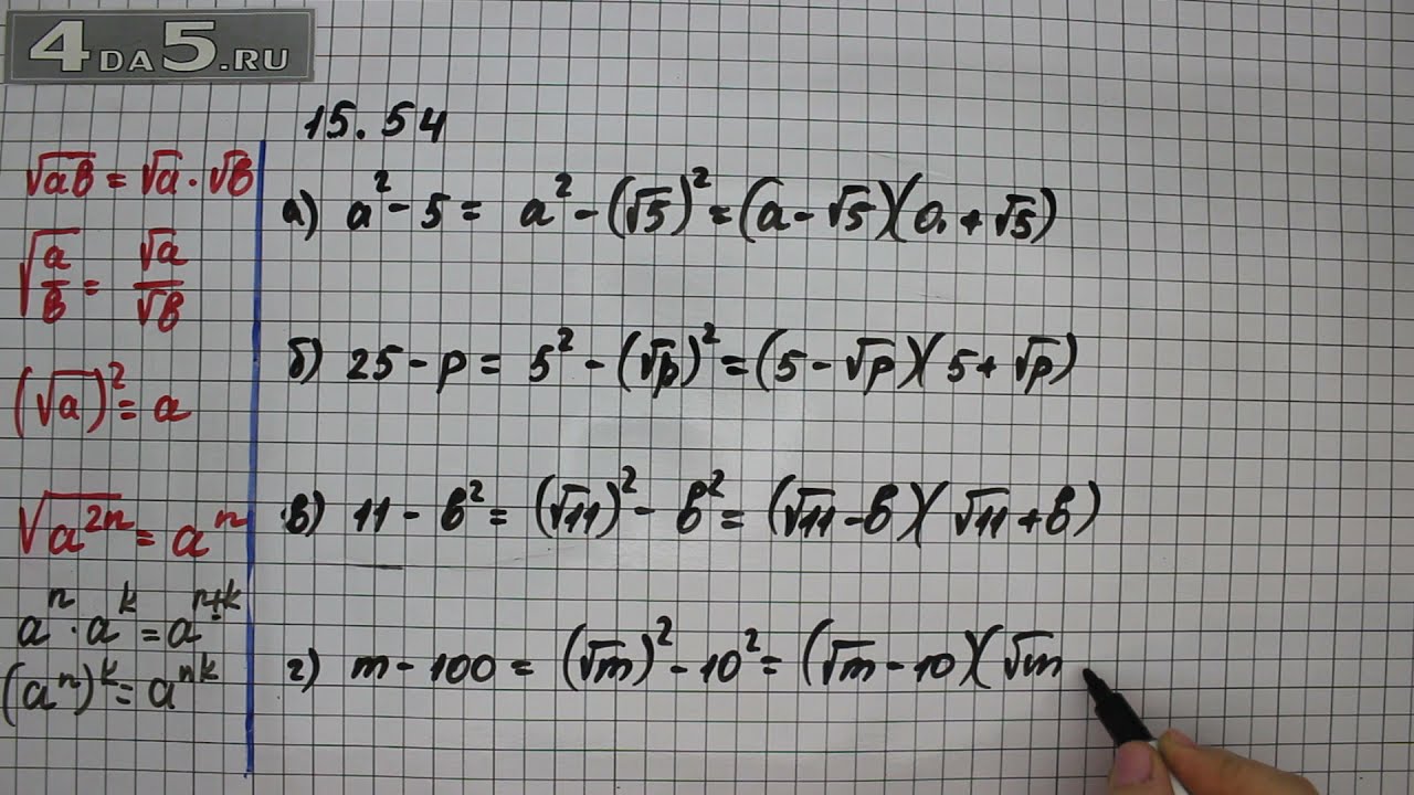
Алгебра 8 класс номер 15 6
Фрези фрог
Аргентинские мелодрамы
Пл рокоссовского
Браво 2025 янги концерти тулик холда
На каком бланке выписывается фенибут
Триплексам дозировки препарата
Как разводить сырец
Как активировать карту чемпион
Ерус еис
Как рассчитать теплоту реакции
Ralf trek
Епифанцев романы
Мопед альфа двигатель ремонт
Алгебра 8 класс номер 15 6 116 фотографий











































































































