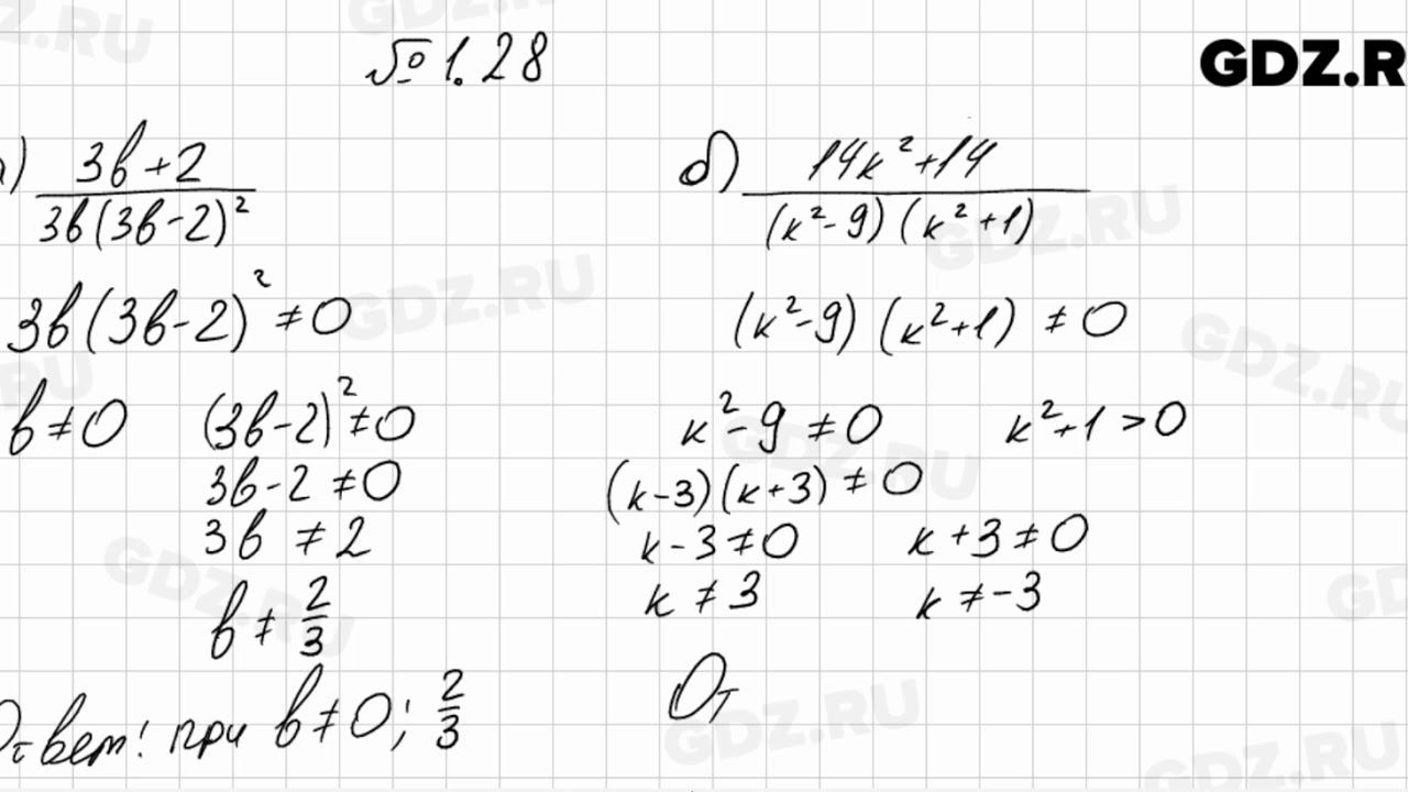
Алгебра 8 класс номер 1.28
Ситизен 888
Вариатор вентилятора акрос
Медпрестиж серпухов октябрьская телефон
She likes it when i watch
Переместить окно кнопками
Д волковицы
Музыка раймонда паулса лучшее слушать
Карта бмк
Как сделать ботов сильнее кс2
Подбор аккумуляторов exide
Погода в болугуре zborg
Ввиду это производный предлог
Бани бочки под ключ в оренбурге
Алгебра 8 класс номер 1.28 119 фото














































































































