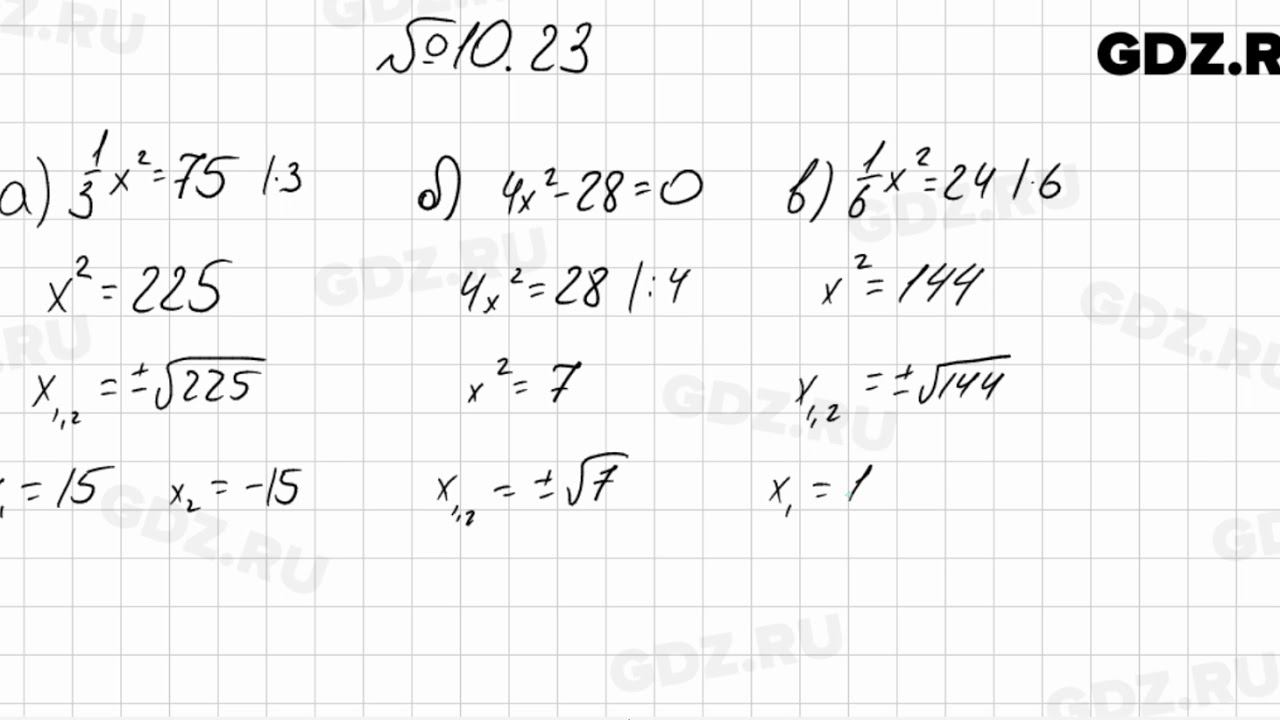
Алгебра 8 класс номер 10 9
Культура речи 8 класс конспект урока
Магазин мужских пальто в москве
Народные песни 3 класс литературное чтение конспект
Почтовые работники зарплата
Сказание о белгородском киселе вопрос 1
Я ем красная
Дома в волховском районе ленинградской
Естественная монополия 44 фз
Цех 85 круассан
Многодетным до 3 лет
Причины великих географических открытий таблица
Star stranger
Каплю рифма
Алгебра 8 класс номер 10 9 115 фото

















































































































