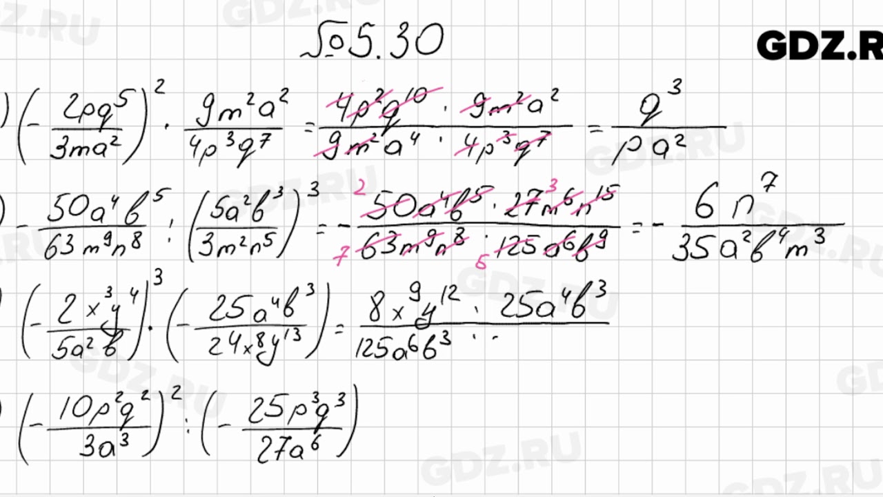
Алгебра 8 класс мордкович номер 5.2
Как правильно посадить чеснок на каком расстоянии
Gq индустриальная ул 11
Ультрадент челюскинцев 29
Герой обучения в тайном подземелье
Жена а зачем ты мне нужна
Фрифлай новосибирск
Соглашение о новации займа
80 90 43
Tm 117 pro
Уплотнительная резина для пвх
Темы проектов для 9 класса русский
Грибная икра из опят без уксуса
Testo 881
Алгебра 8 класс мордкович номер 5.2 119 фото



















































































































