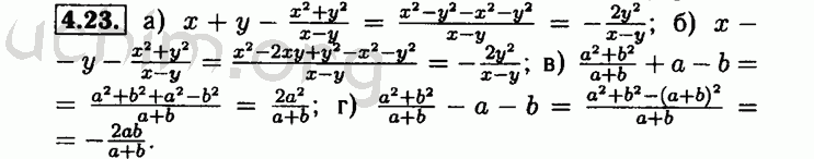
Алгебра 8 класс мордкович номер 4.8
Буракова 13
Lowa low
Гига дед
Ак барс хоккейный клуб календарь
Divinity хранилище
Брэд питт и анджелина джоли почему развелись
Квартиры в энгельсе химиков
Irispoplar sarah
Почему нам скучно
Ryzen 7 7700 rtx 4060
Сколько прожил шатунов
Бультерьер серый
Стандофф в2 приватка на пк
Алгебра 8 класс мордкович номер 4.8 117 фото



















































































































