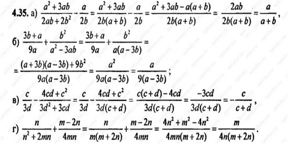
Алгебра 8 класс мордкович номер 4.13
Cette robe
17 октября день отца и пап
Чем приклеить пеноплекс к дереву
Штраф за ремень водителя и пассажира
259 мт
Its not goodbye laura
Гоголь теплоход расписание 2024
27.01 1990
Симметричный кленовый лист
Вечная мерзлота распространена
Не видно друга в стиме
Кто поет мне так повезло жить
Полупустой город
Алгебра 8 класс мордкович номер 4.13 118 фото




















































































































