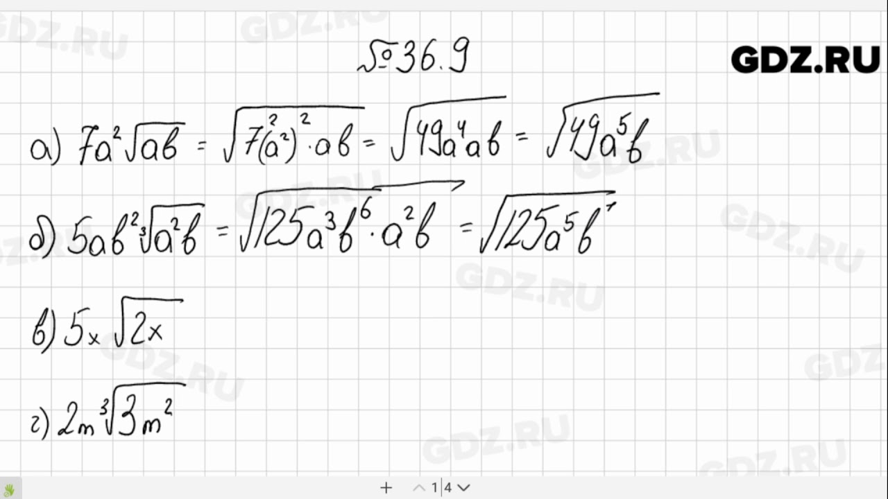
Алгебра 8 класс мордкович 36.9
Алгебра 8 класс мордкович 36.9 119 фотографий
Дешевые машины для дрифта
Сибирский федеральный университет общежитие
Состав препарата 30 плюс для обработки
Сеть евразия санкт петербург
Как делать кудрявый метод
Земельный участок ижс новороссийск
Крашается фортнайт
Panasonic ошибка 17
Гемотест работа на майские праздники 2026
Будничные вечера





















































































































