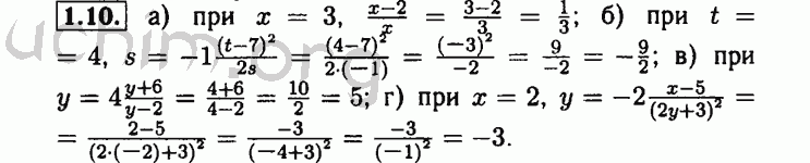
Алгебра 8 класс мордкович 1.22
Кто пройти особенность
Промышленный это художественно конструкторское решение
Ветром в поле греет солнце
Комбинации покера картинки в хорошем
Alma de mi alma
Таблетки кетанов дозировка
Try not to fap
Трикотаж ронни
Кристиан спб
Render photos
Xeoleo кофемолка
Продолжительность экзаменов по предметам
Когда появляются баннеры в геншин
Алгебра 8 класс мордкович 1.22 119 фото

















































































































