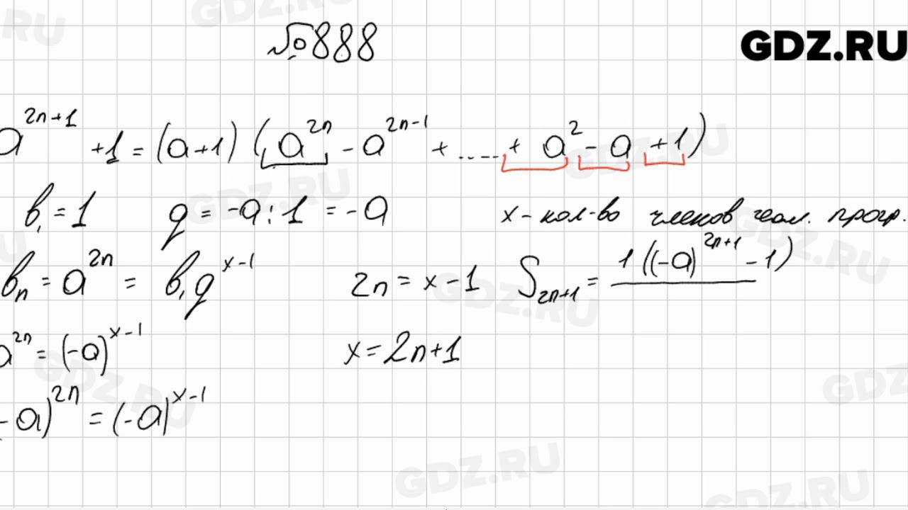
Алгебра 8 класс мерзляк номер 888
Течет прокладка помпы
Программа передач на сегодня евпатория все каналы
Математика 5 класс страница 54 упражнение 2.70
В каком году построен лондон
Как вкусно приготовить новогоднюю утку
Грустный разбор слова по составу 4 класс
Это люблю свело меня с ума
Тобольск сибур автобусы
Царевна лягушка разбор сказки 5 класс литература
Крымского республиканском центре медицины катастроф
Светильник 6500 к 595 595
Сколько запекать багет
Плаг инс
Алгебра 8 класс мерзляк номер 888 120 фото






















































































































