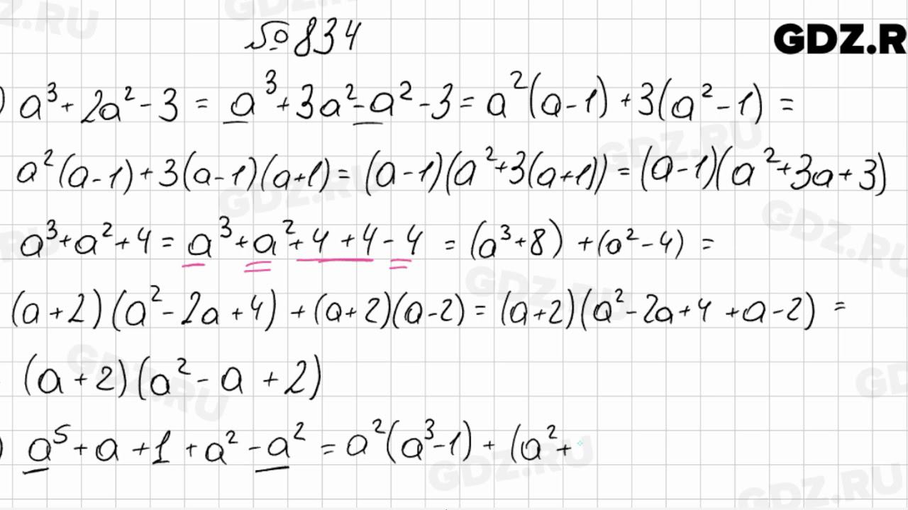
Алгебра 8 класс мерзляк номер 834
Алгебра 8 класс мерзляк номер 834 119 фото
Песни нид из лав
Поза льва видео
Как победить в игре зомби против растений
Варенье из домашней вишни с косточкой
Игры с мячом для 10 лет
Токарный станок зубр 350 1000
Гиалурон для суставов отзывы пациентов
Промсвязьбанк счет про запас условия
Ответственность поручителя по общему правилу
Красная щетка лечебные противопоказания





















































































































