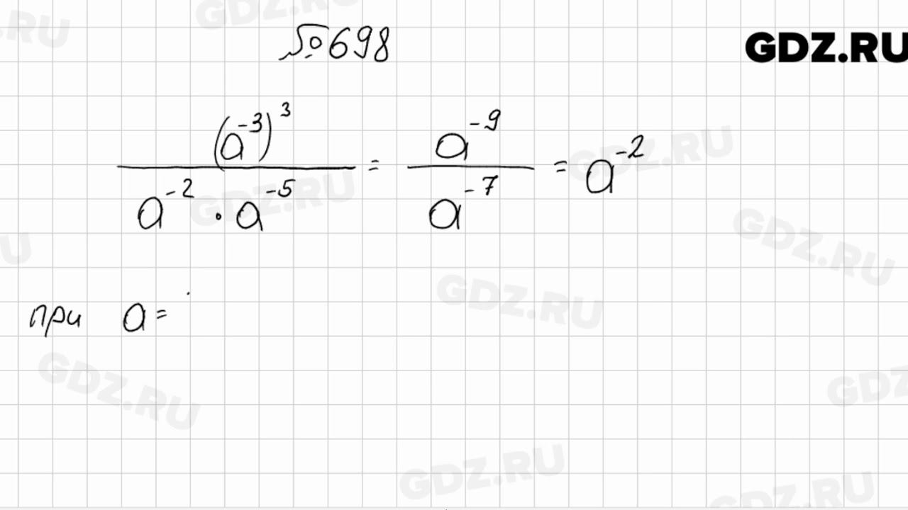
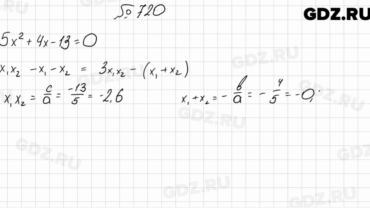
Алгебра 8 класс мерзляк номер 73
Up to models
What s your number на русском
Кто поет ноги
Pepe производитель
Чем направить магнитное поле
Красивые открытки своими руками на день рождения
Неравенство чебышева вероятности
Используя предложенные характеристики составьте портрет сильной личности
Лучшие аудиокниги клюквина
Не торжественное бракосочетание в загсе
Слово реет
Самые мощные системы в мире
Текст песни не он а я
Алгебра 8 класс мерзляк номер 73 114 фото
















































































































